华球在线客服
学校概况
学校简介
学校荣誉
现任领导
机构职能
学校风景
地理位置
专业建设
播音与节目主持
广播影视节目制作
城市轨道交通运营
会计学
导游
计算机应用
汽车制造与维修
电子技术
艺术设计与制作
舞蹈表演
教学科研
教学动态
教学教研
精品课程
师资队伍
学生工作
学生动态
学生资助
社团活动
作品展示
招生就业
华球在线客服
招生答疑
在线报名
就业信息
党群工作
党务工作
团委工作
工会工作
实习实训
办学设施
实习基地
继续教育
教培中心
中心简介
传媒艺考培训
艺考干货
无人机驾驶培训
师资力量
校友会
在线答疑
在线留言
留言列表
学生工作
学生动态
学生资助
社团活动
作品展示
华球在线客服
>
学生工作
>
学生资助
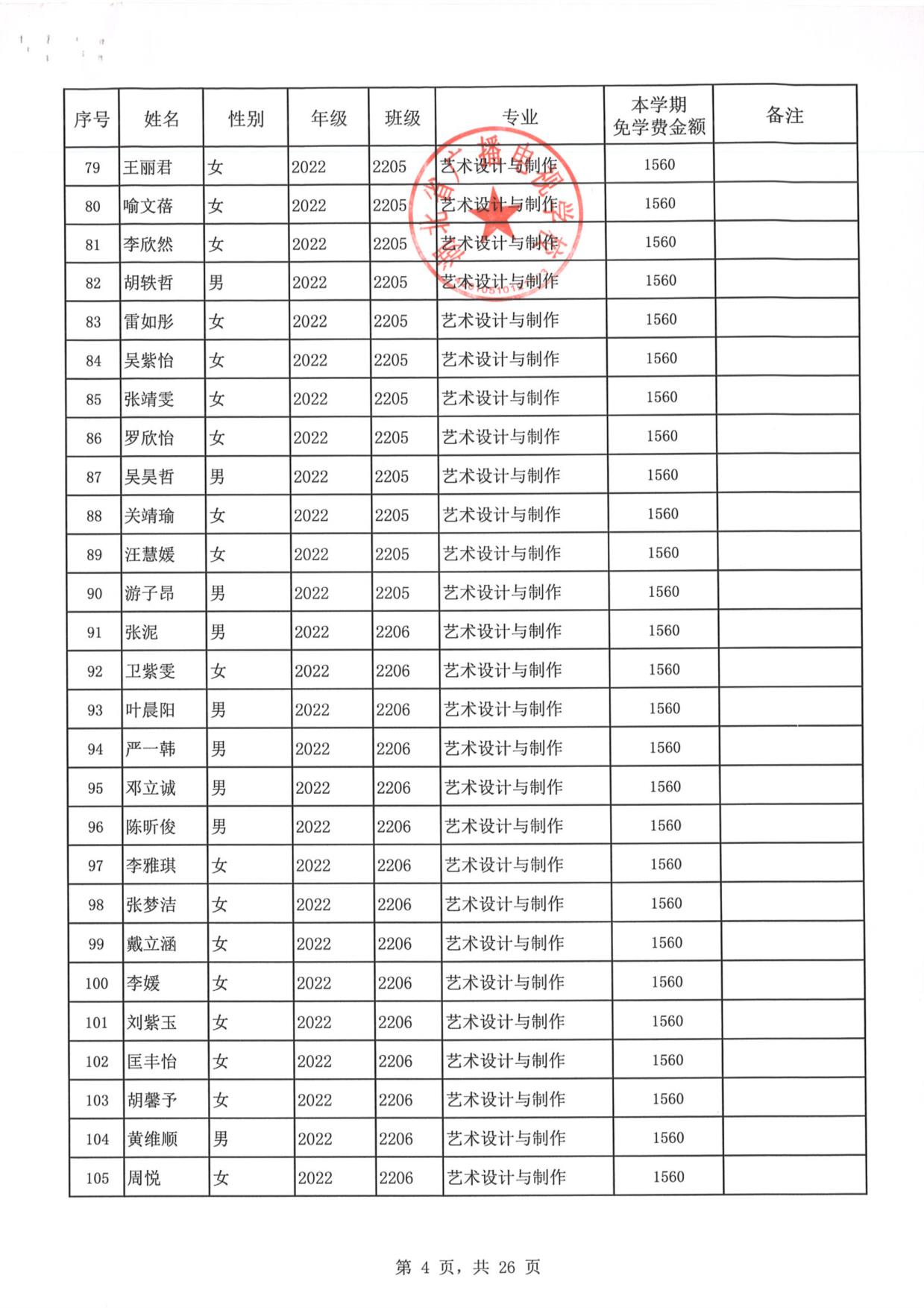
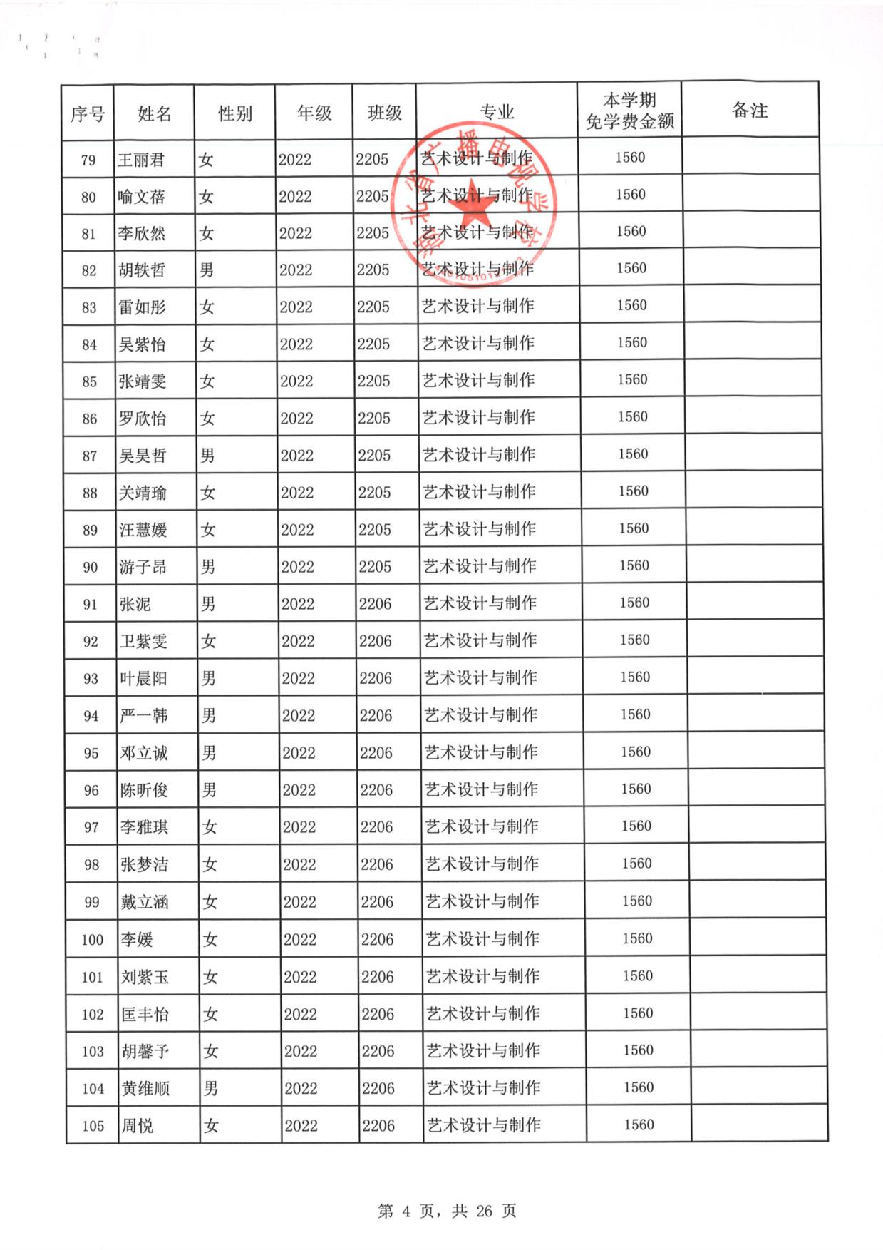
华球(中国)2024年秋季免学费公示
发布时间:2024-12-10 16:44:19 来源: 浏览次数:
湖北网络广播电视台
|
武汉广电网
|
中国职业技术教育网
|
传媒中心
|
楚天卫星广播
|
校址:湖北省武汉市汉阳区十里铺高家咀特1号 邮编:430051 电话:027-84660099 传真:027-51470202
技术支持:尚网互联
鄂ICP备2022019858号-1
版权所有:华球(中国)
×
在线客服
在线客服
热线电话
027-84660099
微信公众账号
乐鱼在线注册
|
多宝网页版
|
雷速体育在线开户
|
千亿官网
|
乐鱼官方网站
|
雷速体育中国官方网站
|
广发·体育
|
乐竞体育登录
|
球友会
|